Implement recurrent nova with using the Galactic class#
import jetset
print('tested with',jetset.__version__)
tested with 1.4.0rc0
This is a preliminary documentation for an example showing a fully user implemented/modified model for a recurrent nova.
loading test data#
In the following we reproduce the results published in the MAGIC paper Nature Astronomy, Volume 6, p. 689-697
from jetset.jet_model import GalacticUnbeamed
from astropy import constants
from astropy import units as u
import numpy as np
non relativistic expanding shell#
from jetset.data_loader import Data
data_fermi=Data.from_file(data_table='./data/fermi_day3.ecsv')
data_magic=Data.from_file(data_table='./data/magic_day3.ecsv')
from astropy.table import Table, vstack
data_table=vstack([data_fermi.table,data_magic.table])
data=Data(n_rows=len(data_table))
from jetset.data_loader import ObsData
sed_data=ObsData(data_table=data_table)
sed_data.plot_sed()
<jetset.plot_sedfit.PlotSED at 0x16f61b4d0>
setting up an expanding shell#
def build_expanding_spherical_shell(sync='on',add_EC_star=False,emitters_type='electrons',emitters_distribution='bkn'):
j=GalacticUnbeamed(emitters_distribution=emitters_distribution,geometry='spherical_shell',emitters_type=emitters_type)
if add_EC_star is True:
j.add_EC_component('EC_Star')
j.parameters.theta_Star.val=0
j.add_user_par(name='v_sh',units='km s-1',val=1E3,val_min=0,val_max=None)
j.add_user_par(name='t',units='d',val=3,val_min=0,val_max=None)
def par_func(t,v_sh):
return 1.2E14*(v_sh/4500)*(t/3)
j.make_dependent_par(par='R_sh', depends_on=['t', 'v_sh'], par_expr=par_func)
j.make_dependent_par(par='R_H_Star', depends_on=['t', 'v_sh'], par_expr=par_func)
j.spectral_components.Sync.state=sync
return j
def build_nova_expanding_shell(E_k=1E40,emitters_type='electrons',emitters_distribution='bkn'):
j_spherical_shell=build_expanding_spherical_shell(add_EC_star=True,sync='self-abs',emitters_type=emitters_type,emitters_distribution=emitters_distribution)
j_spherical_shell.parameters.B.val=1E-3
j_spherical_shell.parameters.T_Star.val=6000
j_spherical_shell.parameters.gmax.val=1E3
j_spherical_shell.parameters.v_sh.val=4500
j_spherical_shell.parameters.L_Star.val=4E43
j_spherical_shell.set_external_field_transf('disk')
x=u.M_sun
j_spherical_shell.add_user_par(name='M_ej',units=x,val=0.1,val_min=0,val_max=None)
def par_func_N(M_ej,R_sh,h_sh):
"""
determines the accelerated proton density from M_ej and shell volume
Eq. 4 in the paper
"""
vol=4/3*np.pi*R_sh**3*((1+h_sh)**3 -1)*u.Unit('cm3')
N= M_ej.cgs/(vol*constants.m_p.cgs)
return N
if emitters_type == 'protons':
j_spherical_shell.add_user_par('NH_pp_ratio',val=1E-5,val_min=0, val_max=1000)
def par_func_NH_pp(N,NH_pp_ratio):
"""
This should come form Eq. 5, but I did not find the relevant parameters in the paper.
Anyhow, the n_ej>>n_target, I paramtrize it as function of n_je i.e. accelerated proton density
"""
return N*NH_pp_ratio
j_spherical_shell.make_dependent_par(par='NH_pp', depends_on=['N','NH_pp_ratio'], par_expr=par_func_NH_pp)
j_spherical_shell.make_dependent_par(par='N', depends_on=['M_ej', 'R_sh','h_sh'], par_expr=par_func_N)
def par_func_M_ej(E_k,v_sh):
"""
mass of the ejecta from Eq. 11
"""
return (2*E_k*u.erg/(v_sh.cgs)**2)/((u.M_sun).to('g'))
j_spherical_shell.add_user_par(name='E_k',units='erg',val=1E40,val_min=0,val_max=None)
j_spherical_shell.make_dependent_par(par='M_ej', depends_on=['E_k','v_sh'], par_expr=par_func_M_ej)
j_spherical_shell.parameters.E_k.val=1E42
return j_spherical_shell
%matplotlib inline
exp_nov_pp=build_nova_expanding_shell(emitters_type='protons',emitters_distribution='plc')
p=None
for t in [3]:
exp_nov_pp.parameters.T_esc_e_secondaries.val=1*86400 #from Extended Data Fig. 5
exp_nov_pp.parameters.t.val=t
exp_nov_pp.parameters.T_Star.val=8460
exp_nov_pp.parameters.L_Star.val = .5E5*constants.L_sun.cgs.value
exp_nov_pp.parameters.DL_cm.val=2.45*u.Unit('kpc').to('cm')
exp_nov_pp.parameters.B.val=1E-3
exp_nov_pp.parameters.p.val=2.25
exp_nov_pp.parameters.gamma_cut.val=300
exp_nov_pp.parameters.gmax.val=1E6
exp_nov_pp.parameters.NH_pp_ratio.val=0.3E-4
exp_nov_pp.parameters.E_k.val=5E43
exp_nov_pp.eval()
p=exp_nov_pp.plot_model(plot_obj=p,sed_data=sed_data,comp='Sum')
#I am removing the plot of the neutrino emission
for c in exp_nov_pp.spectral_components_list:
if 'neutrino' not in c.name:
p=exp_nov_pp.plot_model(plot_obj=p,sed_data=sed_data,comp=c.name)
exp_nov_pp.energetic_report()
exp_nov_pp.show_pars()
p.add_residual_plot(model=exp_nov_pp,data=sed_data)
p.setlim(y_min=1E-15)
adding par: t to R_sh
adding par: v_sh to R_sh
==> par R_sh is depending on ['t', 'v_sh'] according to expr: R_sh =
def par_func(t,v_sh):
return 1.2E14*(v_sh/4500)*(t/3)
adding par: t to R_H_Star
adding par: v_sh to R_H_Star
==> par R_H_Star is depending on ['t', 'v_sh'] according to expr: R_H_Star =
def par_func(t,v_sh):
return 1.2E14*(v_sh/4500)*(t/3)
adding par: N to NH_pp
adding par: NH_pp_ratio to NH_pp
==> par NH_pp is depending on ['N', 'NH_pp_ratio'] according to expr: NH_pp =
def par_func_NH_pp(N,NH_pp_ratio):
"""
This should come form Eq. 5, but I did not find the relevant parameters in the paper.
Anyhow, the n_ej>>n_target, I paramtrize it as function of n_je i.e. accelerated proton density
"""
return N*NH_pp_ratio
adding par: M_ej to N
adding par: R_sh to N
adding par: h_sh to N
==> par N is depending on ['M_ej', 'R_sh', 'h_sh'] according to expr: N =
def par_func_N(M_ej,R_sh,h_sh):
"""
determines the accelerated proton density from M_ej and shell volume
Eq. 4 in the paper
"""
vol=4/3*np.pi*R_sh**3*((1+h_sh)**3 -1)*u.Unit('cm3')
N= M_ej.cgs/(vol*constants.m_p.cgs)
return N
adding par: E_k to M_ej
adding par: v_sh to M_ej
==> par M_ej is depending on ['E_k', 'v_sh'] according to expr: M_ej =
def par_func_M_ej(E_k,v_sh):
"""
mass of the ejecta from Eq. 11
"""
return (2*E_k*u.erg/(v_sh.cgs)**2)/((u.M_sun).to('g'))
WARNING: AstropyDeprecationWarning: 'classic' backend for show_in_notebook() is deprecated as of 6.1. Instead, use the supported backend 'ipydatagrid'. [astropy.table.table]
| name | type | units | val |
|---|---|---|---|
| BulkLorentzFactor | jet-bulk-factor | 1.000000e+00 | |
| U_e | Energy dens. rest. frame | erg / cm3 | 2.897863e+00 |
| U_B | Energy dens. rest. frame | erg / cm3 | 3.978874e-08 |
| U_p | Energy dens. rest. frame | erg / cm3 | 1.234015e+06 |
| U_p_target | Energy dens. rest. frame | erg / cm3 | 5.557468e+00 |
| U_Synch | Energy dens. rest. frame | erg / cm3 | 1.268038e-13 |
| U_Disk | Energy dens. rest. frame | erg / cm3 | 0.000000e+00 |
| U_BLR | Energy dens. rest. frame | erg / cm3 | 0.000000e+00 |
| U_DT | Energy dens. rest. frame | erg / cm3 | 0.000000e+00 |
| U_CMB | Energy dens. rest. frame | erg / cm3 | 0.000000e+00 |
| U_Star | Energy dens. rest. frame | erg / cm3 | 3.539616e-02 |
| U_seed_tot | Energy dens. rest. frame | erg / cm3 | 4.069699e-02 |
| L_Sync | Lum. rest. frame. | erg / s | 1.194271e+30 |
| L_SSC | Lum. rest. frame. | erg / s | 2.935962e+28 |
| L_EC_Disk | Lum. rest. frame. | erg / s | 0.000000e+00 |
| L_EC_BLR | Lum. rest. frame. | erg / s | 0.000000e+00 |
| L_EC_DT | Lum. rest. frame. | erg / s | 0.000000e+00 |
| L_EC_CMB | Lum. rest. frame. | erg / s | 0.000000e+00 |
| L_EC_Star | Lum. rest. frame. | erg / s | 1.568987e+36 |
| L_pp_gamma | Lum. rest. frame. | erg / s | 1.962508e+36 |
WARNING: AstropyDeprecationWarning: 'classic' backend for show_in_notebook() is deprecated as of 6.1. Instead, use the supported backend 'ipydatagrid'. [astropy.table.table]
| model name | name | par type | units | val | phys. bound. min | phys. bound. max | log | frozen |
|---|---|---|---|---|---|---|---|---|
| galactic_unbeamed_hadronic_pp | B | magnetic_field | gauss | 1.000000e-03 | 0.000000e+00 | -- | False | False |
| galactic_unbeamed_hadronic_pp | T_esc_e_secondaries | escape_time | R / c | 8.640000e+04 | 1.000000e+00 | -- | False | False |
| galactic_unbeamed_hadronic_pp | *R_sh(D,v_sh) | region_size | cm | 1.200000e+14 | 1.000000e+03 | 1.000000e+30 | False | True |
| galactic_unbeamed_hadronic_pp | h_sh(M) | scaling_factor | 1.000000e-01 | 0.000000e+00 | 1.000000e+00 | False | False | |
| galactic_unbeamed_hadronic_pp | gmin | low-energy-cut-off | lorentz-factor* | 2.000000e+00 | 1.000000e+00 | 1.000000e+09 | False | False |
| galactic_unbeamed_hadronic_pp | gmax | high-energy-cut-off | lorentz-factor* | 1.000000e+06 | 1.000000e+00 | 1.000000e+15 | False | False |
| galactic_unbeamed_hadronic_pp | *N(D,h_sh) | emitters_density | 1 / cm3 | 1.232301e+08 | 0.000000e+00 | -- | False | True |
| galactic_unbeamed_hadronic_pp | *NH_pp(D,NH_pp_ratio) | target_density | 1 / cm3 | 3.696903e+03 | 0.000000e+00 | -- | False | True |
| galactic_unbeamed_hadronic_pp | gamma_cut | turn-over-energy | lorentz-factor* | 3.000000e+02 | 1.000000e+00 | 1.000000e+09 | False | False |
| galactic_unbeamed_hadronic_pp | p | LE_spectral_slope | 2.250000e+00 | -1.000000e+01 | 1.000000e+01 | False | False | |
| galactic_unbeamed_hadronic_pp | DL_cm | distance | cm | 7.559910e+21 | 0.000000e+00 | 3.085678e+24 | False | False |
| galactic_unbeamed_hadronic_pp | L_Star | Star | erg / s | 1.914000e+38 | 0.000000e+00 | -- | False | False |
| galactic_unbeamed_hadronic_pp | T_Star | Star | K | 8.460000e+03 | 0.000000e+00 | -- | False | False |
| galactic_unbeamed_hadronic_pp | theta_Star | Star | deg | 0.000000e+00 | 0.000000e+00 | 1.800000e+02 | False | False |
| galactic_unbeamed_hadronic_pp | *R_H_Star(D,v_sh) | Star | cm | 1.200000e+14 | 0.000000e+00 | -- | False | True |
| galactic_unbeamed_hadronic_pp | v_sh(M) | user_defined | km / s | 4.500000e+03 | 0.000000e+00 | -- | False | False |
| galactic_unbeamed_hadronic_pp | t(M) | user_defined | d | 3.000000e+00 | 0.000000e+00 | -- | False | False |
| galactic_unbeamed_hadronic_pp | *M_ej(D,v_sh) | user_defined | solMass | 2.483528e-07 | 0.000000e+00 | -- | False | True |
| galactic_unbeamed_hadronic_pp | NH_pp_ratio(M) | user_defined | 3.000000e-05 | 0.000000e+00 | 1.000000e+03 | False | False | |
| galactic_unbeamed_hadronic_pp | E_k(M) | user_defined | erg | 5.000000e+43 | 0.000000e+00 | -- | False | False |
p=None
exp_nov_pp.eval()
for c in exp_nov_pp.spectral_components_list:
if 'neutrino' not in c.name:
p=exp_nov_pp.plot_model(plot_obj=p,sed_data=sed_data,comp=c.name)
p.add_residual_plot(model=exp_nov_pp,data=sed_data)
p.setlim(y_min=1E-15,x_min=1E20)
The EC spectrum is a bit different from the one in the paper, because we are doing quick computation (no solution of the FP equation, but only integral evaluation)of the IC cooling, and we are ignoring the IC suppression. I will try to fix this (by the way, in the jet time evol we do accurate IC cooling with KN suppression)
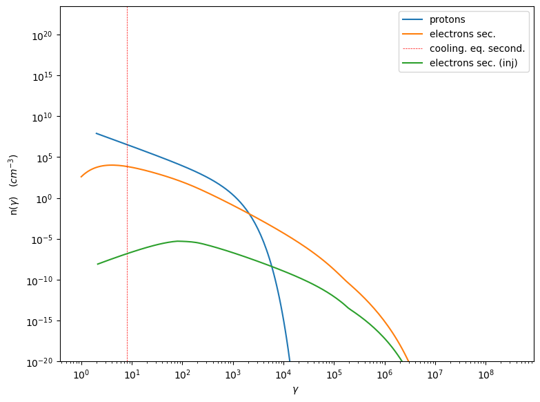
p=exp_nov_pp.emitters_distribution.plot(loglog=False)
p.setlim(y_min=1E-20)
exp_nov_pp.save_model('test.pkl')
from jetset.jet_model import Jet
j=GalacticUnbeamed.load_model('test.pkl')
j.eval()
p=None
p=j.plot_model(plot_obj=p,sed_data=sed_data,comp='Sum')
#I am removing the plot of the neutrino emission
for c in j.spectral_components_list:
if 'neutrino' not in c.name:
p=j.plot_model(plot_obj=p,sed_data=sed_data,comp=c.name)
j.energetic_report()
j.show_pars()
p.add_residual_plot(model=j,data=sed_data)
p.setlim(y_min=1E-15)
WARNING: AstropyDeprecationWarning: 'classic' backend for show_in_notebook() is deprecated as of 6.1. Instead, use the supported backend 'ipydatagrid'. [astropy.table.table]
| name | type | units | val |
|---|---|---|---|
| BulkLorentzFactor | jet-bulk-factor | 1.000000e+00 | |
| U_e | Energy dens. rest. frame | erg / cm3 | 2.897863e+00 |
| U_B | Energy dens. rest. frame | erg / cm3 | 3.978874e-08 |
| U_p | Energy dens. rest. frame | erg / cm3 | 1.234015e+06 |
| U_p_target | Energy dens. rest. frame | erg / cm3 | 5.557468e+00 |
| U_Synch | Energy dens. rest. frame | erg / cm3 | 1.268038e-13 |
| U_Disk | Energy dens. rest. frame | erg / cm3 | 0.000000e+00 |
| U_BLR | Energy dens. rest. frame | erg / cm3 | 0.000000e+00 |
| U_DT | Energy dens. rest. frame | erg / cm3 | 0.000000e+00 |
| U_CMB | Energy dens. rest. frame | erg / cm3 | 0.000000e+00 |
| U_Star | Energy dens. rest. frame | erg / cm3 | 3.539616e-02 |
| U_seed_tot | Energy dens. rest. frame | erg / cm3 | 4.069699e-02 |
| L_Sync | Lum. rest. frame. | erg / s | 1.194271e+30 |
| L_SSC | Lum. rest. frame. | erg / s | 2.935962e+28 |
| L_EC_Disk | Lum. rest. frame. | erg / s | 0.000000e+00 |
| L_EC_BLR | Lum. rest. frame. | erg / s | 0.000000e+00 |
| L_EC_DT | Lum. rest. frame. | erg / s | 0.000000e+00 |
| L_EC_CMB | Lum. rest. frame. | erg / s | 0.000000e+00 |
| L_EC_Star | Lum. rest. frame. | erg / s | 1.568987e+36 |
| L_pp_gamma | Lum. rest. frame. | erg / s | 1.962508e+36 |
WARNING: AstropyDeprecationWarning: 'classic' backend for show_in_notebook() is deprecated as of 6.1. Instead, use the supported backend 'ipydatagrid'. [astropy.table.table]
| model name | name | par type | units | val | phys. bound. min | phys. bound. max | log | frozen |
|---|---|---|---|---|---|---|---|---|
| galactic_unbeamed_hadronic_pp | gmin | low-energy-cut-off | lorentz-factor* | 2.000000e+00 | 1.000000e+00 | 1.000000e+09 | False | False |
| galactic_unbeamed_hadronic_pp | gmax | high-energy-cut-off | lorentz-factor* | 1.000000e+06 | 1.000000e+00 | 1.000000e+15 | False | False |
| galactic_unbeamed_hadronic_pp | *N(D,h_sh) | emitters_density | 1 / cm3 | 1.232301e+08 | 0.000000e+00 | -- | False | True |
| galactic_unbeamed_hadronic_pp | *NH_pp(D,NH_pp_ratio) | target_density | 1 / cm3 | 3.696903e+03 | 0.000000e+00 | -- | False | True |
| galactic_unbeamed_hadronic_pp | gamma_cut | turn-over-energy | lorentz-factor* | 3.000000e+02 | 1.000000e+00 | 1.000000e+09 | False | False |
| galactic_unbeamed_hadronic_pp | p | LE_spectral_slope | 2.250000e+00 | -1.000000e+01 | 1.000000e+01 | False | False | |
| galactic_unbeamed_hadronic_pp | L_Star | Star | erg / s | 1.914000e+38 | 0.000000e+00 | -- | False | False |
| galactic_unbeamed_hadronic_pp | T_Star | Star | K | 8.460000e+03 | 0.000000e+00 | -- | False | False |
| galactic_unbeamed_hadronic_pp | theta_Star | Star | deg | 0.000000e+00 | 0.000000e+00 | 1.800000e+02 | False | False |
| galactic_unbeamed_hadronic_pp | *R_H_Star(D,v_sh) | Star | cm | 1.200000e+14 | 0.000000e+00 | -- | False | True |
| galactic_unbeamed_hadronic_pp | R_H | region_position | cm | 1.000000e+17 | 0.000000e+00 | -- | False | True |
| galactic_unbeamed_hadronic_pp | B | magnetic_field | gauss | 1.000000e-03 | 0.000000e+00 | -- | False | False |
| galactic_unbeamed_hadronic_pp | T_esc_e_secondaries | escape_time | R / c | 8.640000e+04 | 1.000000e+00 | -- | False | False |
| galactic_unbeamed_hadronic_pp | beam_obj | beaming | 1.000000e+00 | 1.000000e-04 | -- | False | False | |
| galactic_unbeamed_hadronic_pp | *R_sh(D,v_sh) | region_size | cm | 1.200000e+14 | 1.000000e+03 | 1.000000e+30 | False | True |
| galactic_unbeamed_hadronic_pp | h_sh(M) | scaling_factor | 1.000000e-01 | 0.000000e+00 | 1.000000e+00 | False | False | |
| galactic_unbeamed_hadronic_pp | DL_cm | distance | cm | 7.559910e+21 | 0.000000e+00 | 3.085678e+24 | False | False |
| galactic_unbeamed_hadronic_pp | v_sh(M) | user_defined | km / s | 4.500000e+03 | 0.000000e+00 | -- | False | False |
| galactic_unbeamed_hadronic_pp | t(M) | user_defined | d | 3.000000e+00 | 0.000000e+00 | -- | False | False |
| galactic_unbeamed_hadronic_pp | *M_ej(D,v_sh) | user_defined | solMass | 2.483528e-07 | 0.000000e+00 | -- | False | True |
| galactic_unbeamed_hadronic_pp | NH_pp_ratio(M) | user_defined | 3.000000e-05 | 0.000000e+00 | 1.000000e+03 | False | False | |
| galactic_unbeamed_hadronic_pp | E_k(M) | user_defined | erg | 5.000000e+43 | 0.000000e+00 | -- | False | False |