Warning

Tested against Gammapy version 1.2, please, take into account that might break if Gammapy changes interface

Example to use the Gamma-py plugin with the JeSeT interface#

import jetset
print('tested with',jetset.__version__)
tested with 1.4.0rc0

In this tutorial we show how to import a jetset model into Gamma-py, and finally we perform a model fitting with Gamma-py. To run this plugin you have to install Gamma-py https://docs.gammapy.org/0.19/getting-started/install.html

import astropy.units as u
import  numpy as np
import matplotlib.pyplot as plt
import matplotlib as mpl
mpl.rcParams['figure.dpi'] = 80

from jetset.gammapy_plugin import GammapyJetsetModelFactory
from jetset.jet_model import Jet
from jetset.test_data_helper import  test_SEDs
from jetset.data_loader import ObsData,Data
from jetset.plot_sedfit import PlotSED
from jetset.test_data_helper import  test_SEDs

Importing a jetset model into gammapy#

jet=Jet()
jet.parameters
WARNING: AstropyDeprecationWarning: 'classic' backend for show_in_notebook() is deprecated as of 6.1. Instead, use the supported backend 'ipydatagrid'. [astropy.table.table]
Table length=11
model namenamepar typeunitsvalphys. bound. minphys. bound. maxlogfrozen
jet_leptonicRregion_sizecm5.000000e+151.000000e+031.000000e+30FalseFalse
jet_leptonicR_Hregion_positioncm1.000000e+170.000000e+00--FalseTrue
jet_leptonicBmagnetic_fieldgauss1.000000e-010.000000e+00--FalseFalse
jet_leptonicNH_cold_to_rel_ecold_p_to_rel_e_ratio1.000000e+000.000000e+00--FalseTrue
jet_leptonicbeam_objbeaming1.000000e+011.000000e-04--FalseFalse
jet_leptonicz_cosmredshift1.000000e-010.000000e+00--FalseFalse
jet_leptonicgminlow-energy-cut-offlorentz-factor*2.000000e+001.000000e+001.000000e+09FalseFalse
jet_leptonicgmaxhigh-energy-cut-offlorentz-factor*1.000000e+061.000000e+001.000000e+15FalseFalse
jet_leptonicNemitters_density1 / cm31.000000e+020.000000e+00--FalseFalse
jet_leptonicgamma_cutturn-over-energylorentz-factor*1.000000e+041.000000e+001.000000e+09FalseFalse
jet_leptonicpLE_spectral_slope2.000000e+00-1.000000e+011.000000e+01FalseFalse
None
gammapy_jet_model=GammapyJetsetModelFactory(jet)
gammapy_jet_model.parameters.to_table()
Table length=11
typenamevalueuniterrorminmaxfrozenlinkprior
str1str16float64str4float64float64float64boolstr1str1
gmin2.0000e+000.000e+001.000e+001.000e+09False
gmax1.0000e+060.000e+001.000e+001.000e+15False
N1.0000e+02cm-30.000e+000.000e+00nanFalse
gamma_cut1.0000e+040.000e+001.000e+001.000e+09False
p2.0000e+000.000e+00-1.000e+011.000e+01False
R5.0000e+15cm0.000e+001.000e+031.000e+30False
R_H1.0000e+17cm0.000e+000.000e+00nanTrue
B1.0000e-01G0.000e+000.000e+00nanFalse
NH_cold_to_rel_e1.0000e+000.000e+000.000e+00nanTrue
beam_obj1.0000e+010.000e+001.000e-04nanFalse
z_cosm1.0000e-010.000e+000.000e+00nanFalse

let’s verify that parameters are updated

gammapy_jet_model.R.value=1E15
gammapy_jet_model.N.value=1E4

gammapy_jet_model.p.value=1.5
gammapy_jet_model.parameters.to_table()
Table length=11
typenamevalueuniterrorminmaxfrozenlinkprior
str1str16float64str4float64float64float64boolstr1str1
gmin2.0000e+000.000e+001.000e+001.000e+09False
gmax1.0000e+060.000e+001.000e+001.000e+15False
N1.0000e+04cm-30.000e+000.000e+00nanFalse
gamma_cut1.0000e+040.000e+001.000e+001.000e+09False
p1.5000e+000.000e+00-1.000e+011.000e+01False
R1.0000e+15cm0.000e+001.000e+031.000e+30False
R_H1.0000e+17cm0.000e+000.000e+00nanTrue
B1.0000e-01G0.000e+000.000e+00nanFalse
NH_cold_to_rel_e1.0000e+000.000e+000.000e+00nanTrue
beam_obj1.0000e+010.000e+001.000e-04nanFalse
z_cosm1.0000e-010.000e+000.000e+00nanFalse

plotting with gammapy#

p=gammapy_jet_model.plot(energy_bounds=[1E-18, 10] * u.TeV,energy_power=2)
../../../../_images/gammapy_plugin_14_0.png

plotting with jetset#

gammapy_jet_model.jetset_model.plot_model()
<jetset.plot_sedfit.PlotSED at 0x3314eb800>
../../../../_images/gammapy_plugin_16_1.png

Model fitting with gammapy#

%matplotlib inline
data=Data.from_file(test_SEDs[1])
sed_data=ObsData(data_table=data)
sed_data.group_data(bin_width=0.1)

sed_data.add_systematics(0.1,[10.**6,10.**29])
p=sed_data.plot_sed()
================================================================================

*  binning data  *
---> N bins= 176
---> bin_width= 0.1
================================================================================
../../../../_images/gammapy_plugin_18_1.png
from jetset.sed_shaper import  SEDShape
my_shape=SEDShape(sed_data)
my_shape.eval_indices(minimizer='lsb',silent=True)
p=my_shape.plot_indices()
p.setlim(y_min=1E-15,y_max=1E-6)
================================================================================

* evaluating spectral indices for data *
================================================================================
/Users/orion/miniforge3/envs/jetset/lib/python3.12/site-packages/scipy/optimize/_lsq/common.py:115: RuntimeWarning: overflow encountered in power
  phi_prime = -np.sum(suf ** 2 / denom**3) / p_norm
/Users/orion/miniforge3/envs/jetset/lib/python3.12/site-packages/scipy/optimize/_lsq/common.py:154: RuntimeWarning: invalid value encountered in scalar divide
  ratio = phi / phi_prime
/Users/orion/miniforge3/envs/jetset/lib/python3.12/site-packages/scipy/optimize/_lsq/common.py:398: RuntimeWarning: invalid value encountered in cast
  return min_step, np.equal(steps, min_step) * np.sign(s).astype(int)
/Users/orion/miniforge3/envs/jetset/lib/python3.12/site-packages/scipy/optimize/_lsq/common.py:115: RuntimeWarning: overflow encountered in power
  phi_prime = -np.sum(suf ** 2 / denom**3) / p_norm
/Users/orion/miniforge3/envs/jetset/lib/python3.12/site-packages/scipy/optimize/_lsq/common.py:154: RuntimeWarning: divide by zero encountered in scalar divide
  ratio = phi / phi_prime
/Users/orion/miniforge3/envs/jetset/lib/python3.12/site-packages/scipy/optimize/_lsq/common.py:166: RuntimeWarning: divide by zero encountered in scalar divide
  p = Delta / norm(p)
/Users/orion/miniforge3/envs/jetset/lib/python3.12/site-packages/scipy/optimize/_lsq/common.py:166: RuntimeWarning: invalid value encountered in multiply
  p *= Delta / norm(p)
/Users/orion/miniforge3/envs/jetset/lib/python3.12/site-packages/scipy/optimize/_lsq/common.py:398: RuntimeWarning: invalid value encountered in cast
  return min_step, np.equal(steps, min_step) * np.sign(s).astype(int)
/Users/orion/miniforge3/envs/jetset/lib/python3.12/site-packages/scipy/optimize/_lsq/common.py:115: RuntimeWarning: invalid value encountered in scalar divide
  phi_prime = -np.sum(suf * 2 / denom**3) / p_norm
../../../../_images/gammapy_plugin_19_2.png
mm,best_fit=my_shape.sync_fit(check_host_gal_template=False,
                  Ep_start=None,
                  minimizer='lsb',
                  silent=True,
                  fit_range=[10.,21.])
================================================================================

* Log-Polynomial fitting of the synchrotron component *
---> first blind fit run,  fit range: [10.0, 21.0]
---> class:  HSP
WARNING: AstropyDeprecationWarning: 'classic' backend for show_in_notebook() is deprecated as of 6.1. Instead, use the supported backend 'ipydatagrid'. [astropy.table.table]
Table length=4
model namenamevalbestfit valerr +err -start valfit range minfit range maxfrozen
LogCubicb-1.686248e-01-1.686248e-014.358721e-03---1.000000e+00-1.000000e+010.000000e+00False
LogCubicc-1.240705e-02-1.240705e-026.505551e-04---1.000000e+00-1.000000e+011.000000e+01False
LogCubicEp1.673587e+011.673587e+011.636242e-02--1.668869e+010.000000e+003.000000e+01False
LogCubicSp-9.471815e+00-9.471815e+001.279268e-02---1.000000e+01-3.000000e+010.000000e+00False
---> sync       nu_p=+1.673587e+01 (err=+1.636242e-02)  nuFnu_p=-9.471815e+00 (err=+1.279268e-02) curv.=-1.686248e-01 (err=+4.358721e-03)
================================================================================
my_shape.IC_fit(fit_range=[23.,29.],minimizer='minuit',silent=True)
p=my_shape.plot_shape_fit()
p.setlim(y_min=1E-15)
================================================================================

* Log-Polynomial fitting of the IC component *
---> fit range: [23.0, 29.0]
---> LogCubic fit
WARNING: AstropyDeprecationWarning: 'classic' backend for show_in_notebook() is deprecated as of 6.1. Instead, use the supported backend 'ipydatagrid'. [astropy.table.table]
Table length=4
model namenamevalbestfit valerr +err -start valfit range minfit range maxfrozen
LogCubicb-2.164748e-01-2.164748e-013.075789e-02---1.000000e+00-1.000000e+010.000000e+00False
LogCubicc-5.765602e-02-5.765602e-021.496974e-02---1.000000e+00-1.000000e+011.000000e+01False
LogCubicEp2.527374e+012.527374e+018.298538e-02--2.529191e+010.000000e+003.000000e+01False
LogCubicSp-1.013481e+01-1.013481e+012.786107e-02---1.000000e+01-3.000000e+010.000000e+00False
---> IC         nu_p=+2.527374e+01 (err=+8.298538e-02)  nuFnu_p=-1.013481e+01 (err=+2.786107e-02) curv.=-2.164748e-01 (err=+3.075789e-02)
================================================================================
../../../../_images/gammapy_plugin_21_4.png
from jetset.obs_constrain import ObsConstrain
from jetset.model_manager import  FitModel
sed_obspar=ObsConstrain(beaming=25,
                        B_range=[0.001,0.1],
                        distr_e='lppl',
                        t_var_sec=3*86400,
                        nu_cut_IR=1E12,
                        SEDShape=my_shape)


prefit_jet=sed_obspar.constrain_SSC_model(electron_distribution_log_values=False,silent=True)
prefit_jet.save_model('prefit_jet.pkl')
================================================================================

*  constrains parameters from observable *
/Users/orion/miniforge3/envs/jetset/lib/python3.12/site-packages/jetset/obs_constrain.py:1514: RankWarning: Polyfit may be poorly conditioned
  p=polyfit(nu_p_IC_model_log,B_grid_log,2)
WARNING: AstropyDeprecationWarning: 'classic' backend for show_in_notebook() is deprecated as of 6.1. Instead, use the supported backend 'ipydatagrid'. [astropy.table.table]
Table length=12
model namenamepar typeunitsvalphys. bound. minphys. bound. maxlogfrozen
jet_leptonicRregion_sizecm3.578073e+161.000000e+031.000000e+30FalseFalse
jet_leptonicR_Hregion_positioncm1.000000e+170.000000e+00--FalseTrue
jet_leptonicBmagnetic_fieldgauss5.050000e-020.000000e+00--FalseFalse
jet_leptonicNH_cold_to_rel_ecold_p_to_rel_e_ratio1.000000e+000.000000e+00--FalseTrue
jet_leptonicbeam_objbeaming2.500000e+011.000000e-04--FalseFalse
jet_leptonicz_cosmredshift3.080000e-020.000000e+00--FalseFalse
jet_leptonicgminlow-energy-cut-offlorentz-factor*4.697542e+021.000000e+001.000000e+09FalseFalse
jet_leptonicgmaxhigh-energy-cut-offlorentz-factor*1.364411e+061.000000e+001.000000e+15FalseFalse
jet_leptonicNemitters_density1 / cm35.746653e-010.000000e+00--FalseFalse
jet_leptonicgamma0_log_parabturn-over-energylorentz-factor*3.534742e+041.000000e+001.000000e+09FalseFalse
jet_leptonicsLE_spectral_slope2.171300e+00-1.000000e+011.000000e+01FalseFalse
jet_leptonicrspectral_curvature8.431239e-01-1.500000e+011.500000e+01FalseFalse
================================================================================
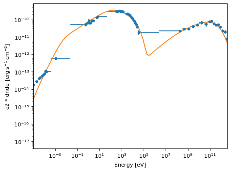
pl=prefit_jet.plot_model(sed_data=sed_data)
pl.add_model_residual_plot(prefit_jet,sed_data)
pl.setlim(y_min=1E-15,x_min=1E7,x_max=1E29)
../../../../_images/gammapy_plugin_23_0.png

setting gammapy jetset model#

We import the model to gammapy and we set min/max values. Notice that gammapy has not fit_range, but uses only min/max.

We importing a jetset model with fit_range defined, these will automatically update the gammapy min/max parameters attributes

jet=Jet.load_model('prefit_jet.pkl')
jet.parameters.z_cosm.freeze()
jet.parameters.R_H.freeze()
jet.parameters.R.freeze()
jet.parameters.gmin.freeze()
#jet.parameters.R.fit_range=[5E15,1E17]
#jet.parameters.gmin.fit_range=[10,1000]
jet.parameters.gmax.fit_range=[1E5,1E7]
jet.parameters.s.fit_range=[1,3]
jet.parameters.r.fit_range=[0,5]
jet.parameters.B.fit_range=[1E-4,1]
jet.parameters.N.fit_range=[1E-3,10]
jet.parameters.gamma0_log_parab.fit_range=[1E3,1E5]
jet.parameters.beam_obj.fit_range=[5,50]

gammapy_jet_model=GammapyJetsetModelFactory(jet)
gammapy_jet_model.parameters.to_table()
Table length=12
typenamevalueuniterrorminmaxfrozenlinkprior
str1str16float64str4float64float64float64boolstr1str1
gmin4.6975e+020.000e+001.000e+001.000e+09True
gmax1.3644e+060.000e+001.000e+051.000e+07False
N5.7467e-01cm-30.000e+001.000e-031.000e+01False
gamma0_log_parab3.5347e+040.000e+001.000e+031.000e+05False
s2.1713e+000.000e+001.000e+003.000e+00False
r8.4312e-010.000e+000.000e+005.000e+00False
R3.5781e+16cm0.000e+001.000e+031.000e+30True
R_H1.0000e+17cm0.000e+000.000e+00nanTrue
B5.0500e-02G0.000e+001.000e-041.000e+00False
NH_cold_to_rel_e1.0000e+000.000e+000.000e+00nanTrue
beam_obj2.5000e+010.000e+005.000e+005.000e+01False
z_cosm3.0800e-020.000e+000.000e+00nanTrue
_=gammapy_jet_model.evaluate()
p=gammapy_jet_model.jetset_model.plot_model(sed_data=sed_data)
p.add_model_residual_plot(data=sed_data, model=jet,fit_range=[1E11,1E30])
p.setlim(x_min=1E8,y_min=1E-14)
../../../../_images/gammapy_plugin_29_0.png

importing data to gammapy#

from gammapy.estimators import FluxPoints

fp=FluxPoints.from_table(sed_data.gammapy_table,sed_type='e2dnde', format='gadf-sed')
p=fp.plot(sed_type='e2dnde')
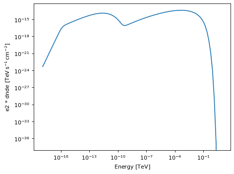
p=gammapy_jet_model.plot(energy_bounds=[1E-18, 10] * u.TeV,energy_power=2)

plt.show()
No reference model set for FluxMaps. Assuming point source with E^-2 spectrum.
../../../../_images/gammapy_plugin_31_1.png
sed_data.gammapy_table.meta
{'z': 0.0308,
 'obj_name': 'J1104+3812,Mrk421',
 'restframe': 'obs',
 'data_scale': 'lin-lin',
 'UL_CL': 0.95,
 'SED_TYPE': 'e2dnde'}
p=fp.plot(sed_type='dnde')
p=gammapy_jet_model.plot(energy_bounds=[1E-18, 10] * u.TeV,energy_power=0)

plt.show()
../../../../_images/gammapy_plugin_33_0.png

building gammapy SkyModel#

we build the SkyModel, and we degrade the pre-fit model quality

from gammapy.modeling.models import SkyModel
sky_model = SkyModel(name="SSC model Mrk 421", spectral_model=gammapy_jet_model)
gammapy_jet_model.N.value=2.0
gammapy_jet_model.r.value=0.5
gammapy_jet_model.beam_obj.value=20
print(sky_model)
gammapy_jet_model.evaluate()
p=gammapy_jet_model.jetset_model.plot_model(sed_data=sed_data)
p.add_model_residual_plot(data=sed_data, model=gammapy_jet_model.jetset_model,fit_range=[1E11,1E30])
SkyModel

  Name                      : SSC model Mrk 421
  Datasets names            : None
  Spectral model type       : GammapyJetsetModel
  Spatial  model type       :
  Temporal model type       :
  Parameters:
    gmin                  (frozen):    469.754
    gmax                          : 1364411.465  +/-    0.00
    N                             :      2.000   +/-    0.00 1 / cm3
    gamma0_log_parab              :  35347.416   +/-    0.00
    s                             :      2.171   +/-    0.00
    r                             :      0.500   +/-    0.00
    R                     (frozen): 35780727301057516.000      cm
    R_H                   (frozen): 100000000000000000.000       cm
    B                             :      0.051   +/-    0.00 gauss
    NH_cold_to_rel_e      (frozen):      1.000
    beam_obj                      :     20.000   +/-    0.00
    z_cosm                (frozen):      0.031
../../../../_images/gammapy_plugin_37_1.png

setting gammapy Datasets and Fit classes, and running the fit#

from gammapy.datasets import FluxPointsDataset,Datasets
datasets = Datasets()
E_min_fit = (1e11 * u.Hz).to("eV", equivalencies=u.spectral())
fp=FluxPoints.from_table(sed_data.gammapy_table,sed_type='e2dnde', format='gadf-sed')
dataset_mrk421 = FluxPointsDataset(data=fp,models=sky_model)

#this workaround was needed with version 1.2
dataset_mrk421.mask_fit= dataset_mrk421.data.energy_ref >= E_min_fit
dataset_mrk421.mask_fit=dataset_mrk421.mask_fit.reshape(dataset_mrk421.mask_safe.shape)

datasets = Datasets(dataset_mrk421)
datasets.models=sky_model
No reference model set for FluxMaps. Assuming point source with E^-2 spectrum.
dataset_mrk421.mask_fit.shape
(54, 1, 1)
from gammapy.modeling import Fit

#conf_dict=dict(tol=1E-8)


fitter = Fit(backend='scipy')#,optimize_opts=conf_dict)
results = fitter.run(datasets=datasets)
print(results)
No covariance estimate - not supported by this backend.
OptimizeResult

    backend    : scipy
    method     : scipy
    success    : True
    message    : Optimization terminated successfully.
    nfev       : 838
    total stat : 40.50
results.parameters.to_table()
Table length=12
typenamevalueuniterrorminmaxfrozenlinkprior
str1str16float64str4float64float64float64boolstr1str1
gmin4.6975e+020.000e+001.000e+001.000e+09True
gmax8.9839e+050.000e+001.000e+051.000e+07False
N5.2610e-01cm-30.000e+001.000e-031.000e+01False
gamma0_log_parab3.4405e+040.000e+001.000e+031.000e+05False
s2.0559e+000.000e+001.000e+003.000e+00False
r8.0992e-010.000e+000.000e+005.000e+00False
R3.5781e+16cm0.000e+001.000e+031.000e+30True
R_H1.0000e+17cm0.000e+000.000e+00nanTrue
B6.8142e-02G0.000e+001.000e-041.000e+00False
NH_cold_to_rel_e1.0000e+000.000e+000.000e+00nanTrue
beam_obj1.9138e+010.000e+005.000e+005.000e+01False
z_cosm3.0800e-020.000e+000.000e+00nanTrue
gammapy_jet_model.jetset_model.parameters
WARNING: AstropyDeprecationWarning: 'classic' backend for show_in_notebook() is deprecated as of 6.1. Instead, use the supported backend 'ipydatagrid'. [astropy.table.table]
Table length=12
model namenamepar typeunitsvalphys. bound. minphys. bound. maxlogfrozen
jet_leptonicgminlow-energy-cut-offlorentz-factor*4.697542e+021.000000e+001.000000e+09FalseTrue
jet_leptonicgmaxhigh-energy-cut-offlorentz-factor*8.983946e+051.000000e+001.000000e+15FalseFalse
jet_leptonicNemitters_density1 / cm35.261017e-010.000000e+00--FalseFalse
jet_leptonicgamma0_log_parabturn-over-energylorentz-factor*3.440529e+041.000000e+001.000000e+09FalseFalse
jet_leptonicsLE_spectral_slope2.055942e+00-1.000000e+011.000000e+01FalseFalse
jet_leptonicrspectral_curvature8.099165e-01-1.500000e+011.500000e+01FalseFalse
jet_leptonicRregion_sizecm3.578073e+161.000000e+031.000000e+30FalseTrue
jet_leptonicR_Hregion_positioncm1.000000e+170.000000e+00--FalseTrue
jet_leptonicBmagnetic_fieldgauss6.814163e-020.000000e+00--FalseFalse
jet_leptonicNH_cold_to_rel_ecold_p_to_rel_e_ratio1.000000e+000.000000e+00--FalseTrue
jet_leptonicbeam_objbeaming1.913780e+011.000000e-04--FalseFalse
jet_leptonicz_cosmredshift3.080000e-020.000000e+00--FalseTrue
None

note that this plot refers to the latest fit trial, in case, please consider storing the plot within a list in the fit loop

gammapy_jet_model.evaluate()
fp.plot(sed_type='e2dnde')
gammapy_jet_model.plot(energy_bounds=[1E-18, 10] * u.TeV,energy_power=2)
plt.ylim(1E-14)
plt.show()
../../../../_images/gammapy_plugin_46_0.png
gammapy_jet_model.jetset_model.eval()
p=gammapy_jet_model.jetset_model.plot_model(sed_data=sed_data)
p.add_model_residual_plot(data=sed_data, model=gammapy_jet_model.jetset_model,
                                         fit_range=[1E11,1E30])
p.setlim(y_min=1E-14)
../../../../_images/gammapy_plugin_47_0.png
%timeit gammapy_jet_model.jetset_model.eval()
4.13 ms ± 16.8 μs per loop (mean ± std. dev. of 7 runs, 100 loops each)
%timeit gammapy_jet_model.evaluate()
4.49 ms ± 84.7 μs per loop (mean ± std. dev. of 7 runs, 100 loops each)