Hadronic pp jet model

Hadronic pp jet model#

In this section we show the hadronic pp implemented for the Jet model. The pp implementation is based on the work presented in [Kelner2006].

Secondaries \(e^{\pm}\), are evolved to the equilibrium following the approach in [Inoue96].

A validation of the integral solution for the \(e^{\pm}\) equilibrium used for the pp jet against the Fokker-Plank equation solution, implemented in the JetTimeEvol class, is presented in Validation of the pp equilibrium against the Fokker-Plank equation solution

from jetset.jet_model import Jet
from jetset.jetkernel import jetkernel
import matplotlib.pyplot as plt
import numpy as np
import jetset
print('tested with',jetset.__version__)
tested with 1.4.0rc0

To get an hadronic jet with pp interaction, we set the emitters_type='protons'

j=Jet(emitters_distribution='plc',verbose=False,emitters_type='protons')
j.parameters.R.val=1E16
j.parameters.N.val=1000
j.parameters.B.val=1
j.parameters.z_cosm.val=0.001
j.parameters.beam_obj.val=20

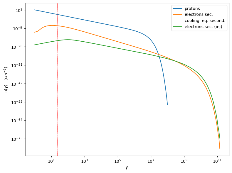
we can plot the emitters_distribution which will show the equilibrium solution.

j.emitters_distribution.plot()
<jetset.plot_sedfit.PlotPdistr at 0x16ff0c530>
../../../../_images/hadronic_10_1.png

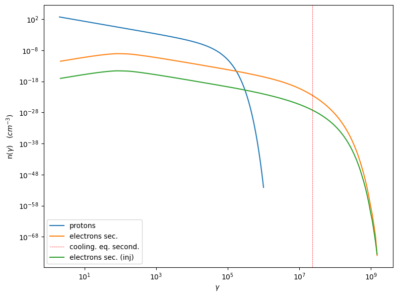
Changing a parameter will update the eq. solution for the plot of the emitters.

j.parameters.B.val=.01
j.emitters_distribution.plot()
<jetset.plot_sedfit.PlotPdistr at 0x317ac14f0>
../../../../_images/hadronic_12_1.png
j.parameters.B.val=1
j.eval(init=True)
j.show_model()
--------------------------------------------------------------------------------
model description:
--------------------------------------------------------------------------------
type: Jet
name: jet_hadronic_pp
geometry: spherical

protons distribution:
 type: plc
 gamma energy grid size:  201
 gmin grid : 2.000000e+00
 gmax grid : 1.000000e+06
 normalization:  True
 log-values:  False

radiative fields:
 seed photons grid size:  100
 IC emission grid size:  100
 source emissivity lower bound :  1.000000e-120
 spectral components:
   name:Sum, state: on
   name:Sum, hidden: False
   name:Sync, state: self-abs
   name:Sync, hidden: False
   name:SSC, state: on
   name:SSC, hidden: False
   name:PP_gamma, state: on
   name:PP_gamma, hidden: False
   name:PP_neutrino_tot, state: on
   name:PP_neutrino_tot, hidden: False
   name:PP_neutrino_mu, state: on
   name:PP_neutrino_mu, hidden: False
   name:PP_neutrino_e, state: on
   name:PP_neutrino_e, hidden: False
   name:Bremss_ep, state: on
   name:Bremss_ep, hidden: False
external fields transformation method: blob

SED info:
 nu grid size jetkernel: 1000
 nu size: 500
 nu mix (Hz): 1.000000e+06
 nu max (Hz): 1.000000e+30

flux plot lower bound   :  1.000000e-30

--------------------------------------------------------------------------------
WARNING: AstropyDeprecationWarning: 'classic' backend for show_in_notebook() is deprecated as of 6.1. Instead, use the supported backend 'ipydatagrid'. [astropy.table.table]
Table length=12
model namenamepar typeunitsvalphys. bound. minphys. bound. maxlogfrozen
jet_hadronic_ppRregion_sizecm1.000000e+161.000000e+031.000000e+30FalseFalse
jet_hadronic_ppR_Hregion_positioncm1.000000e+170.000000e+00--FalseTrue
jet_hadronic_ppBmagnetic_fieldgauss1.000000e+000.000000e+00--FalseFalse
jet_hadronic_ppT_esc_e_secondariesescape_timeR / c1.000000e+001.000000e+00--FalseFalse
jet_hadronic_ppbeam_objbeaming2.000000e+011.000000e-04--FalseFalse
jet_hadronic_ppz_cosmredshift1.000000e-030.000000e+00--FalseFalse
jet_hadronic_ppgminlow-energy-cut-offlorentz-factor*2.000000e+001.000000e+001.000000e+09FalseFalse
jet_hadronic_ppgmaxhigh-energy-cut-offlorentz-factor*1.000000e+061.000000e+001.000000e+15FalseFalse
jet_hadronic_ppNemitters_density1 / cm31.000000e+030.000000e+00--FalseFalse
jet_hadronic_ppNH_pptarget_density1 / cm31.000000e+000.000000e+00--FalseFalse
jet_hadronic_ppgamma_cutturn-over-energylorentz-factor*1.000000e+041.000000e+001.000000e+09FalseFalse
jet_hadronic_pppLE_spectral_slope2.000000e+00-1.000000e+011.000000e+01FalseFalse
--------------------------------------------------------------------------------
gmin=1.0/jetkernel.MPC2_TeV
m=j.emitters_distribution.gamma_p>=gmin
print('U(p) (erg/cm3) =',j.emitters_distribution.eval_U(gmin=gmin))
U(p) (erg/cm3) = 5.257679637585932
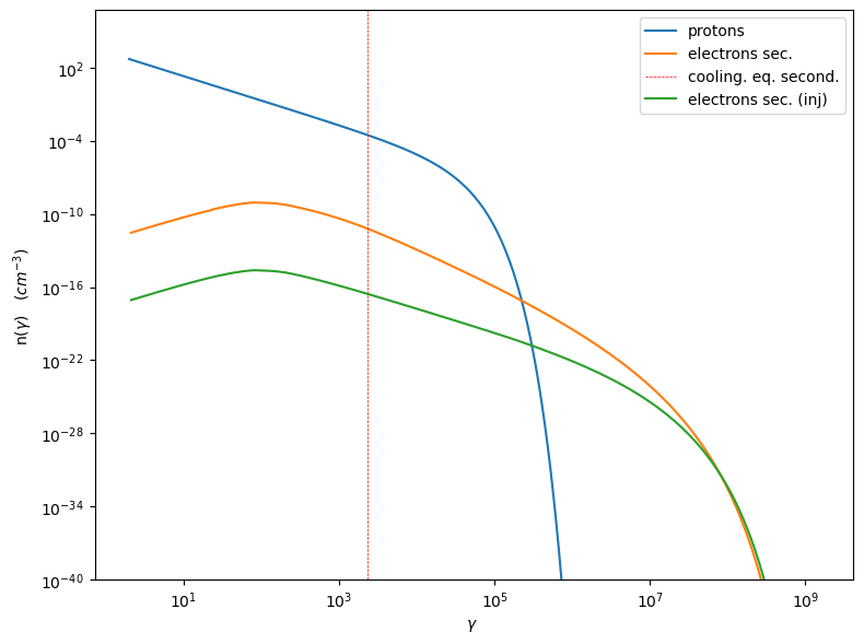
%matplotlib inline
p=j.emitters_distribution.plot()
p.setlim(y_min=1E-40)
../../../../_images/hadronic_15_0.png
%matplotlib inline
p=j.plot_model()
p.setlim(y_min=1E-27)
../../../../_images/hadronic_16_0.png

Jet pp Consistency with Kelner 2006#

j=Jet(emitters_distribution='plc',verbose=False,emitters_type='protons')
j.parameters.z_cosm.val=z=0.001
j.parameters.beam_obj.val=10
j.parameters.gamma_cut.val=1000/(jetkernel.MPC2_TeV)
j.parameters.NH_pp.val=1
j.parameters.N.val=1
j.parameters.p.val=2.0
j.parameters.B.val=1.0
j.parameters.R.val=1E18
j.parameters.gmin.val=1
j.parameters.gmax.val=1E8
j.set_emiss_lim(1E-60)
j.set_IC_nu_size(100)
j.gamma_grid_size=200
j.nu_max=1E31
gamma_sec_evovled=np.copy(j.emitters_distribution.gamma_e)
n_gamma_sec_evovled=np.copy(j.emitters_distribution.n_gamma_e)
gamma_sec_inj=np.copy(j.emitters_distribution.gamma_e_second_inj)
n_gamma_sec_inj=np.copy(j.emitters_distribution.n_gamma_e_second_inj)
gmin=1.0/jetkernel.MPC2_TeV
j.set_N_from_U_emitters(1.0, gmin=gmin)
j.eval()
j.show_model()
--------------------------------------------------------------------------------
model description:
--------------------------------------------------------------------------------
type: Jet
name: jet_hadronic_pp
geometry: spherical

protons distribution:
 type: plc
 gamma energy grid size:  201
 gmin grid : 1.000000e+00
 gmax grid : 1.000000e+08
 normalization:  True
 log-values:  False

radiative fields:
 seed photons grid size:  100
 IC emission grid size:  100
 source emissivity lower bound :  1.000000e-60
 spectral components:
   name:Sum, state: on
   name:Sum, hidden: False
   name:Sync, state: self-abs
   name:Sync, hidden: False
   name:SSC, state: on
   name:SSC, hidden: False
   name:PP_gamma, state: on
   name:PP_gamma, hidden: False
   name:PP_neutrino_tot, state: on
   name:PP_neutrino_tot, hidden: False
   name:PP_neutrino_mu, state: on
   name:PP_neutrino_mu, hidden: False
   name:PP_neutrino_e, state: on
   name:PP_neutrino_e, hidden: False
   name:Bremss_ep, state: on
   name:Bremss_ep, hidden: False
external fields transformation method: blob

SED info:
 nu grid size jetkernel: 1000
 nu size: 500
 nu mix (Hz): 1.000000e+06
 nu max (Hz): 1.000000e+31

flux plot lower bound   :  1.000000e-30

--------------------------------------------------------------------------------
WARNING: AstropyDeprecationWarning: 'classic' backend for show_in_notebook() is deprecated as of 6.1. Instead, use the supported backend 'ipydatagrid'. [astropy.table.table]
Table length=12
model namenamepar typeunitsvalphys. bound. minphys. bound. maxlogfrozen
jet_hadronic_ppRregion_sizecm1.000000e+181.000000e+031.000000e+30FalseFalse
jet_hadronic_ppR_Hregion_positioncm1.000000e+170.000000e+00--FalseTrue
jet_hadronic_ppBmagnetic_fieldgauss1.000000e+000.000000e+00--FalseFalse
jet_hadronic_ppT_esc_e_secondariesescape_timeR / c1.000000e+001.000000e+00--FalseFalse
jet_hadronic_ppbeam_objbeaming1.000000e+011.000000e-04--FalseFalse
jet_hadronic_ppz_cosmredshift1.000000e-030.000000e+00--FalseFalse
jet_hadronic_ppgminlow-energy-cut-offlorentz-factor*1.000000e+001.000000e+001.000000e+09FalseFalse
jet_hadronic_ppgmaxhigh-energy-cut-offlorentz-factor*1.000000e+081.000000e+001.000000e+15FalseFalse
jet_hadronic_ppNemitters_density1 / cm31.058009e+020.000000e+00--FalseFalse
jet_hadronic_ppNH_pptarget_density1 / cm31.000000e+000.000000e+00--FalseFalse
jet_hadronic_ppgamma_cutturn-over-energylorentz-factor*1.065789e+061.000000e+001.000000e+09FalseFalse
jet_hadronic_pppLE_spectral_slope2.000000e+00-1.000000e+011.000000e+01FalseFalse
--------------------------------------------------------------------------------
m=j.emitters_distribution.gamma_p>=gmin
print('U(p) (erg/cm3) =',j.emitters_distribution.eval_U(gmin=gmin))
U(p) (erg/cm3) = 1.0
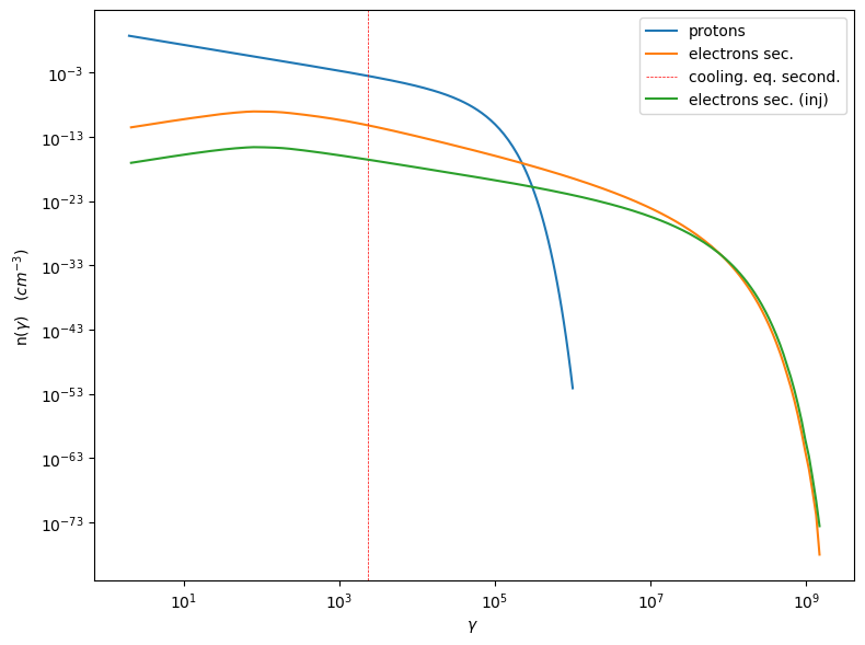
%matplotlib inline
p=j.emitters_distribution.plot()
../../../../_images/hadronic_22_0.png
from jetset.utils import get_nested_attr
from jetset.jet_kernel_tools import get_spectral_c_array_read_only
j.eval()
j.emitters_distribution.plot()
def get_component(jet,j_name,nu_name):
    j_nu_ptr=get_nested_attr(jet._blob, j_name)
    nu_ptr=get_nested_attr(jet._blob, nu_name)

    xg,yg=get_spectral_c_array_read_only(nu_ptr,j_nu_ptr,jet._blob.core.nu_grid_size)

    m=yg>0

    xg=xg[m]
    yg=yg[m]
    yg=yg*xg
    yg=yg*jetkernel.erg_to_TeV

    xg=xg*jetkernel.HPLANCK_TeV

    return xg,yg
../../../../_images/hadronic_23_0.png
#Fig 12 Kelner 2006
%matplotlib inline


#j_nu_pp rate
xg,yg= get_component(j,'PP_gamma.spec.j_nu','PP_gamma.spec.nu')
x_nu_e,y_nu_e= get_component(j,'PP_neutrino.spec_e.j_nu','PP_neutrino.spec_e.nu')
x_nu_mu,y_nu_mu= get_component(j,'PP_neutrino.spec_mu.j_nu','PP_neutrino.spec_mu.nu')
x_nu_tot,y_nu_tot=  get_component(j,'PP_neutrino.spec_tot.j_nu','PP_neutrino.spec_tot.nu')
x_nu_mu_2=x_nu_mu
y_nu_2=(y_nu_tot-y_nu_mu)*np.pi*4
x_nu_mu_1=x_nu_mu
y_nu_mu_1=(y_nu_mu-y_nu_2)*np.pi*4

yg=yg*np.pi*4
y_nu_mu=y_nu_mu*np.pi*4
y_nu_e=y_nu_e*np.pi*4
#e-  rate
x_inj=np.copy(j.emitters_distribution.gamma_e_second_inj)
y_inj=np.copy(j.emitters_distribution.n_gamma_e_second_inj)
y_e=y_inj*x_inj*x_inj*jetkernel.MEC2_TeV
x_e=x_inj*0.5E6/1E12

plt.loglog(xg,yg,label='gamma')
plt.loglog(x_e,y_e,label='e-')
plt.loglog(x_nu_e,y_nu_e,'--',label='nu_e')
plt.loglog(x_nu_mu,y_nu_mu,label='nu_mu')

#plt.loglog(x_nu_mu_1,y_nu_mu_1,label='nu_mu_1')

plt.ylim(1E-19,3E-17)#
plt.xlim(1E-5,1E6)

plt.legend()
plt.axhline(2.15E-17,ls='--',c='b')
plt.axhline(8.5E-18,ls='--',c='orange')
plt.axhline(1.1E-17,ls='--',c='r')
<matplotlib.lines.Line2D at 0x31a459970>
../../../../_images/hadronic_24_1.png
#Fig 14 left panel
%matplotlib inline
y1=yg/(xg*xg)
plt.plot(xg*1E6,y1/y1.max(),label='gamma')

y1=y_e/(x_e*x_e)
m=y_e>0
plt.plot(x_e[m]*1E6,2*y1[m]/y1[m].max(),label='e-')

#y1=y_nu_tot/(x_nu_tot*x_nu_tot)
#m=y1>0
#plt.plot(x_nu_tot[m]*1E6,3*y1[m]/y1[m].max(),label='nu_tot')
y1=y_nu_mu_1/(x_nu_mu_1*x_nu_mu_1)
m=y1>0
plt.plot(x_nu_mu_1[m]*1E6,4*y1[m]/y1[m].max(),label='nu_mu_1')

y1=y_nu_mu/(x_nu_mu*x_nu_mu)
m=y1>0
plt.plot(x_nu_mu[m]*1E6,5*y1[m]/y1[m].max(),label='nu_mu')

#plt.xlim(1E-5,2E2)
plt.axvline(70)
plt.axvline(50)
plt.axvline(30)
plt.legend()
plt.xlim(10,175)
(10.0, 175.0)
../../../../_images/hadronic_25_1.png

Bibliography#

[Tramacere2011]

Tramacere et al. (2011), “Stochastic Acceleration and the Evolution of Spectral Distributions in Synchro-Self-Compton Sources: A Self-consistent Modeling of Blazars’ Flares”

[Tramacere2009]

Tramacere, Massaro and Taylor (2009), “Swift observations of the very intense flaring activity of Mrk 421 during 2006. I. Phenomenological picture of electron acceleration and predictions for MeV/GeV emission”

[Massaro2006]

Massaro et al (2006), “radiation mechanisms: non-thermal, galaxies: active, BL Lacertae objects: general, BL Lacertae objects: individual: Mkn 501, Astrophysics”

[RL1986]

Rybicki, George B. and Lightman, Alan P. (1986),”Radiative Processes in Astrophysics”

[BG1970]

Blumenthal, George R. and Gould, Robert J. (1970), “Bremsstrahlung, Synchrotron Radiation, and Compton Scattering of High-Energy Electrons Traversing Dilute Gases”

[Jones1968]

Jones, Frank C. (1968), “Calculated Spectrum of Inverse-Compton-Scattered Photons”;

[Dermer95]

Dermer (1995) “On the Beaming Statistics of Gamma-Ray Sources”

[Inoue96]

Inoue & Takahara (1996) “Electron Acceleration and Gamma-Ray Emission from Blazars”

[Dermer2002]

Dermer and Schlickeiser (2002), “Transformation Properties of External Radiation Fields, Energy-Loss Rates and Scattered Spectra, and a Model for Blazar Variability”

[GKM01]

Georganopoulos, Kirk, and Mastichiadis (2001), “The Beaming Pattern and Spe

[Finke2016]

Finke et al. (2010), “EXTERNAL COMPTON SCATTERING IN BLAZAR JETS AND THE LOCATION OF THE GAMMA-RAY EMITTING REGION”

[Donea2003]

Donea & Protheroe (2003), “Radiation fields of disk, BLR and torus in quasars and blazars: implications for /γ-ray absorption”

[Kelner2006]

Kelner et al. (206), “Energy spectra of gamma rays, electrons, and neutrinos produced at proton-proton interactions in the very high energy regime”

[DermerMenon2009]

Dermer and Menon (2009), “High Energy Radiation from Black Holes: Gamma Rays, Cosmic Rays, and Neutrinos”;

[Dermer2002]

Dermer and Schlickeiser (2002), “Transformation Properties of External Radiation Fields, Energy-Loss Rates and Scattered Spectra, and a Model for Blazar Variability”;

[Franceschini2008]

Franceschini et al. (2008), “Extragalactic optical-infrared background radiation, its time evolution and the cosmic photon-photon opacity”

[Finke2010]

Finke et al. (2010), “Modeling the Extragalactic Background Light from Stars and Dust”

[Dominguez2011]

Dominguez et al. (2011), “Extragalactic background light inferred from AEGIS galaxy-SED-type fractions”

[Dominguez2023]

Dominguez et al. (2023), “A new derivation of the Hubble constant from γ-ray attenuation using improved optical depths for the Fermi and CTA era”

[Saldana-Lopez2021]

Saldana-Lopez, et al. (2021), “An observational determination of the evolving extragalactic background light from the multiwavelength HST/CANDELS survey in the Fermi and CTA era”

[Tramacere2022]

Tramacere et al (2022), “Radio-γ-ray response in blazars as a signature of adiabatic blob expansion”